
INTRODUCTION
Managing breeding stock fertility and egg production is critical to achieving good breeder production and welfare. However, maintaining persistent egg output and hatchability remains challenging, especially between 40 and 60 weeks of age. This article highlights the main reasons why breeding stock flocks may exhibit egg production and hatchability post-peak persistence and aims to provide advice on how to overcome them.
During production, a well-performing flock has:
- A predictable and uniform onset of egg production in response to light stimulation.
- Pin-bone spacing of around 2–2.5 fingers (3.8–4.2 cm, 1.5–1.7 in) for more than 85–90% of the females prior to first light stimulation.
- A steady, regular increase in daily egg production from 5% .
- A peak hen-housed egg production level of greater than 90%.
- Cumulative hatchability greater than 87% to 64 weeks of age.
- Good feather cover for age.
- Positive net energy balance for males and females consi-dering body weight and egg production level.
All traits above play critical roles in achieving hen-housed chick numbers close to the current performance objectives.
In most cases, when targeted cumulative chick production is not achieved, poor egg production persistency and fertility are the main drivers. Monitoring the following key management points must be part of a daily management routine. It can make the difference between a top and bottom quartile result. Each area is discussed in more detail in the next section.
KEY MANAGEMENT POINTS
- Rearing conditions.
- Environment — temperature, ventilation, and lighting.
- Sexual synchronization and mating ratio.
- Body-weight and egg-weight control.
- Feed management — nutrient intake and feeding management.
- Production house conditions.
Rearing conditions
The rearing period forms the foundation for the future performance of the flock. Without detailed management of all aspects of the rearing period, from brooding to mating-up, and particularly the uniformity (skeletal, body weight, and sexual) of a flock, future egg production performance can be compromised. A poorly-reared flock is less predictable, with a quicker decline in persistency post-peak and, therefore, a lower hatching egg and chick output than a well-reared flock.
A good performing flock in rear should have the following:
- A weight-gain profile closely following the breed body-weight standards throughout rear and that achieves female and male target body weight at 20 weeks.
- Appropriate fleshing and body conformation for age.
- Good sustained female and male uniformity throughout rear, with a coefficient of variation (CV) of <8% or uniformity >79% at the end of rear.
Environment
Effective temperature
The relationship between effective temperature (the temperature the bird perceives) and its effect on bird performance is often overlooked. Many managers feed the same feed amount for age throughout the year, regardless of the effective temperature that the birds are experiencing.
During winter or cooler months, feed may need to be increased or held at a higher, more static level as production progresses through the colder period. Adjustments in
the digestible lysine content proportionate to an energy increase are crucial to keep up with higher feed volumes to overcome low temperatures without resulting in excessive body-weight gain.
During hot seasons, birds may reduce feed intake in response to the hot weather. Providing cooler water can be helpful. Reformulate the diet to balance the feed intake so that nutrient intake fulfills the birds’ requirements, such as:
- Providing a good physical feed form (less fines).
- Using feed ingredients with higher digestibility.
- Increasing the proportion of the feed energy that comes from fat.
Temperature effect on energy requirements
In addition, feed intake must be altered as the operating temperature differs from 23 °C (73 °F). Energy intakes should be adjusted pro rata as follows:
- Increased by 6 kcal of energy (1.2 kcal/1 °C, 2.14 g/0.075 oz extra feed based on a 2,800 kcal ME/kg diet) per bird per day if temperature is decreased by 5 °C (9 °F) from 23–18 °C (73–64 °F).
- Reduced by 7 kcal (1.4 kcal/1°C, 2.5 g/0.88 oz less feed based on a 2,800 kcal ME/kg diet) per bird per day if temperature is increased from 23–28 °C (73–82 °F).
However, the influence of temperatures above 23 °C (73 °F) on feed allocation is not as straightforward as the effect of cold. The birds’ need to dissipate heat prevents them from adjusting feed intake despite the increased daily energy requirement.
Parameters such as egg production levels, egg weight, egg mass, body weight, and feather coverage must be considered before any feed allocation changes are made. When feather cover is poor at lower temperatures,
an additional increase in feed allocation (above levels mentioned earlier) is essential to maintain production traits. For example, in addition to the increase in the maintenance requirements under cold weather, there is another slight increase in feed between a well-feathered (score 0) and a poor-feathered (score 5) bird (Figure 1).
Lighting
Breeding stock males and females are photorefractory when they hatch (juvenile photorefractoriness). Juvenile photorefractoriness must be dissipated for sexual development to occur. To dissipate photorefractoriness, birds must experience at least 18 weeks of short day lengths (8 hours) during rear. Birds can then be given and respond to increased day length (light stimulation), thus initiating production. If prolonged exposure to long daylengths in rear (>11 hours), birds will not dissipate their juvenile photorefractoriness, causing a delayed onset of production.
It is recommended that a daylength of 13–14 hours of light be provided during production. Providing more than 14 hours of light during production generally leads to that flock exhibiting poorer persistency because the onset
of adult photorefractoriness advances, and production declines more rapidly.
When open-sided production houses are used, the daylength should preferably be kept to 13–14 hours, using blackout curtains at the beginning and end of each day.
Trials and field examples have shown an improvement in egg production by adding 2 hours post-50 weeks, which can have the effect of late light stimulation in environmentally controlled housing where the photoperiod does not exceed 14 hours. If a positive response in total egg production is seen after providing the additional 2 hours of light, a small temporary feed increase of 2–3 grams (commensurate with the level of increased production seen) may further support the response.
Ventilation
Ventilation is a key part of the management system and should be monitored as closely as possible for the whole life of the flock. It is essential to highlight the importance of ventilation and its link with production persistency.
Ventilation must be accurately matched to bird biomass, feather cover, and external environmental conditions.
Incorrect ventilation can increase floor eggs and ocular discharge and reduce egg production, daily livability, and fertility.
Sexual synchronization and mating ratio
Males that are reared more mature than females (not sexually synchronized) or excessive mating ratios can cause damage in females early in the production cycle and reduce production and fertility persistency later on. A female feather cover can be a good indicator for this damage.
Normal mating behavior is affected when a female does not have the protection of a layer of feathers. A poorly-feathered female becomes less receptive to male mating activity; therefore, fertility reduction is observed as the flock ages. The process of mating impacts feather loss; however, it is important to monitor and understand the normal pattern of feather loss and respond appropriately if it becomes excessive.
Ensure males and females are synchronized in sexual maturity before mating up (Figure 2). If the facility has separate male pens, and variation exists in sexual maturity within the male population, the more mature males should be mixed with the females first, as the less mature males can easily access female feeders during feeding time.

In many cases where flocks exhibit lower fertility levels through peak and particularly post-peak, mating ratios are above those recommended (Table 1).

Initial mating ratios (22–35 weeks) are often higher than recommended due to the incorrect belief that this improves early and peak hatch. Avoid having high male numbers, as this leads to over-mating, feather damage, non-receptive females (due to poor feather cover and overly-eager male mating behavior), and poorer persistency of fertility post-peak.
Body weight
Body-weight control is critical in day-to-day management practices, but in many cases, feed allocation follows a set company profile from one flock to the next. Adjusting feed levels according to set company guidelines to stay within budgetary constraints may not allow for what a flock requires when it is over or under standard weight.
Body weight, persistency, and feed levels must be managed quantitatively:
- Reducing feed too aggressively or without allowing or compensating for an overweight flock can cause a drop in production persistency, altering the balance of body- weight gain, egg production, and maintenance.
- Increasing feed too quickly to bring a flock back to target when it is underweight generally pushes birds overweight and reduces egg production.
- When making any adjustments in feed level, it is essential to consider the impact that this has on total nutrient intake, rather than just grams of feed per bird per day.
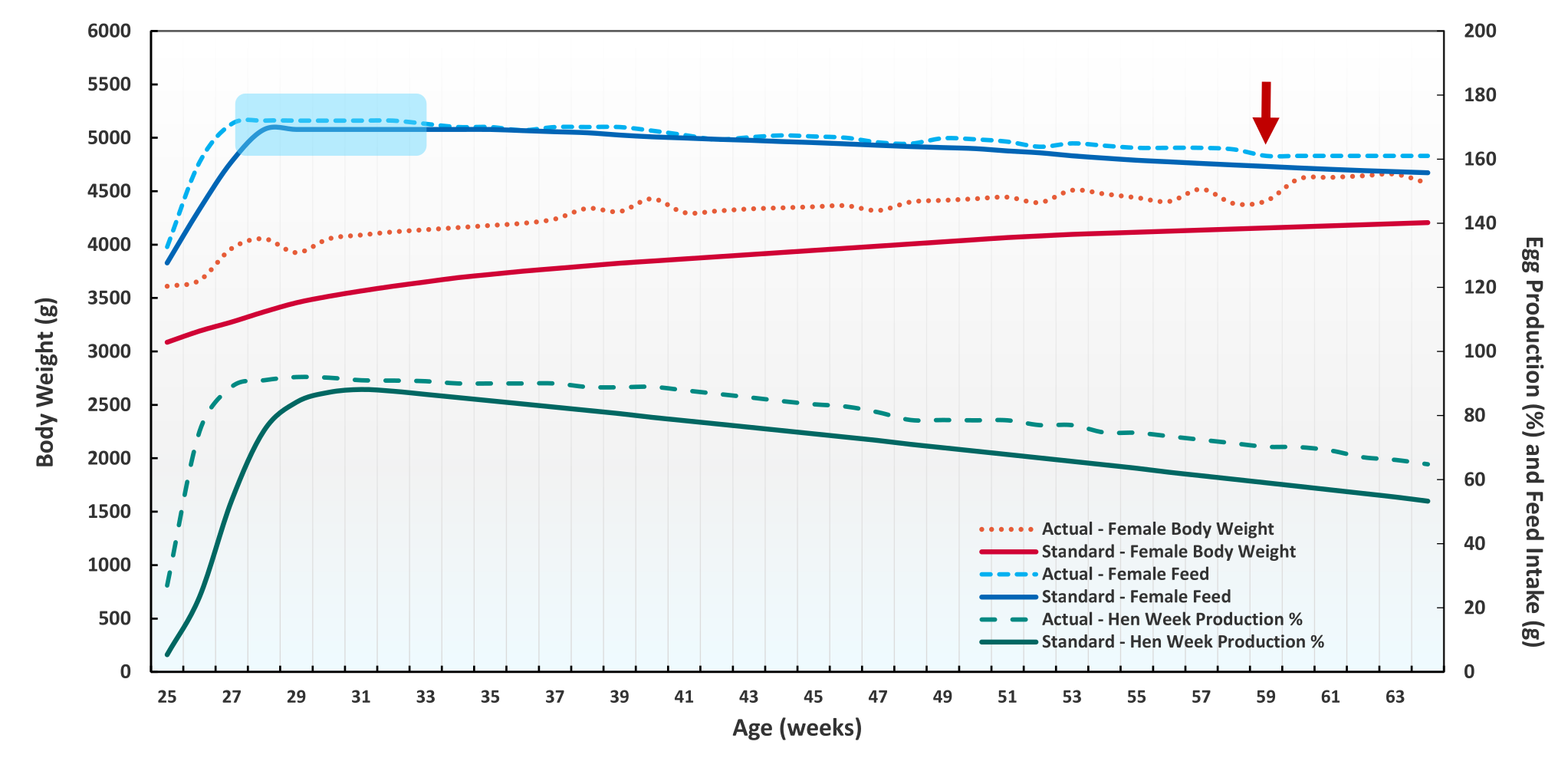
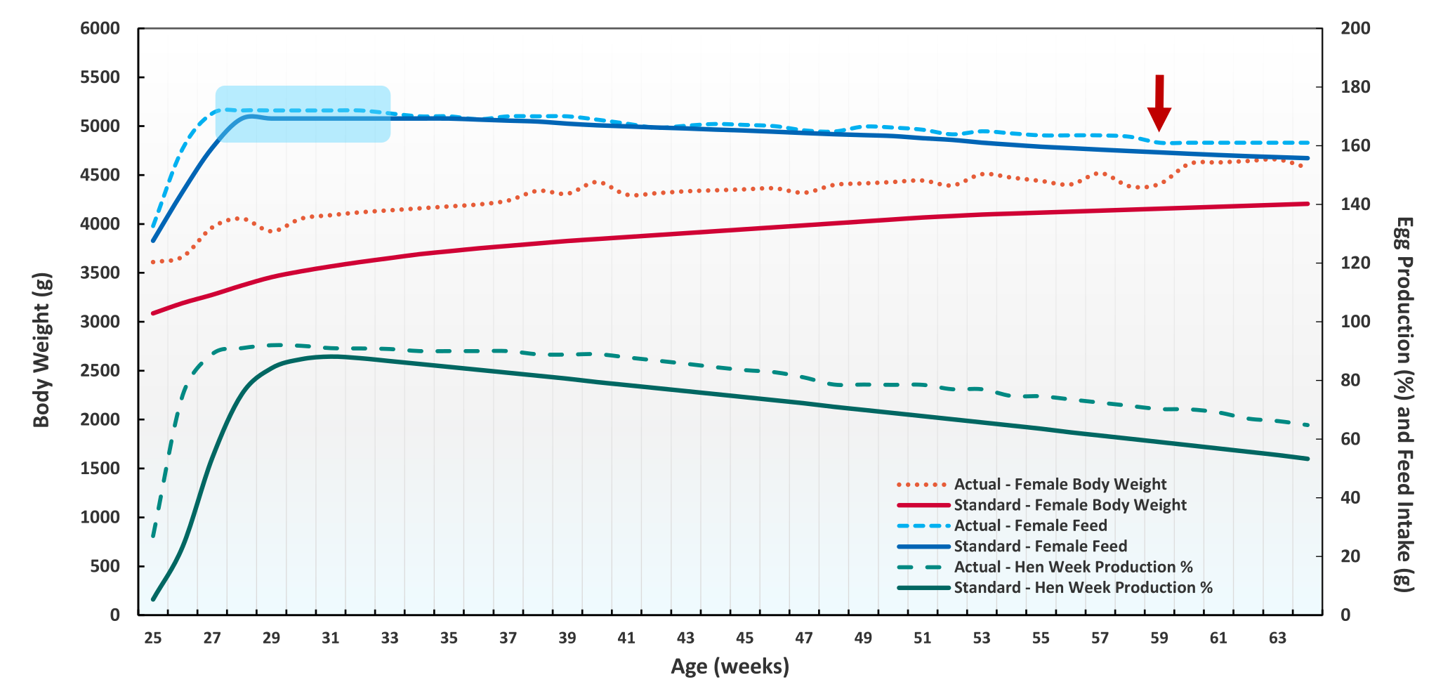
Figure 3 shows a high-peaking flock with a peak feed amount of 172 g per bird (37.9 lb/100 birds):
(i) The flock remains on this feed level until 33 weeks, and feed withdrawal is 5.2% from peak to 59 weeks.
(ii) Persistency is good even though body weight is higher than standard.

The increased feed level and appropriate feed withdrawal allowed this flock to maintain body weight without compromising production.
For example, if a flock is overweight, the weight difference from the standard must be maintained if persistent production levels are also to be maintained. Giving more feed over the life of the flock but ensuring correct total nutrient intake maintains egg production as a reward.
Following the Aviagen recommended production diets is important to balance the changing and opposed nutritional requirements of reducing crude protein (especially digestible lysine) to control fleshing while maintaining sufficient energy to sustain egg production persistency. It is significantly more favorable to move to the next breeder diet phase to control the nutritional needs of the flock as it ages, compared with aggressive feed withdrawals to control the fleshing status of the birds.
Egg weight
Along with body weight, monitor egg weight closely during the post-peak production period. Monitoring egg weights daily allows trends against the standard to be plotted so that feed amounts can be adjusted appropriately. A change in the increasing egg weight trend is often seen before a reduction in egg production and can be the first indication of a potential problem. Egg weights should be recorded daily starting from 10% hen-day production. The sample from the second collection of 120–150 hatching eggs (to avoid using eggs laid the previous day) should be bulk-weighed each day. All small, double-yolk, cracked, and abnormal eggs should be removed before weighing.
A flock performing below standard for post-peak egg production and being overfed can show consistently (over at least 4 days) higher-than-expected increases in daily egg weights away from the standard. Over-feeding a poor-performing flock has a negative impact, not only on production but also on overall hatchability due to poorer eggshell quality in larger eggs. In this case, further feed removal may be required.
If the feed is withdrawn too quickly or at too high a level for the egg output of the flock, a reduction in egg weight can precede a production drop. If a consistent drop in egg weight (over at least 4 days) occurs, feed should be carefully given back to the flock, and the results should be closely monitored over the following 4–6 days.
Housing conditions
Breeding flocks may be challenged to varying degrees daily. Identifying the ongoing, lesser challenges that may only be observed as a gradual change in flock persistency or reported fertility, particularly during the later stages of production, is challenging. Housing conditions (see Table 2) should be monitored regularly, and adjustments should be made where possible.

SUMMARY
Breeding flocks have been changed rapidly over the years. With primary breeding companies simultaneously selecting for improved broiler traits and reproductive performance, providing detailed management practices for the day-to-day operation of facilities and breeding flocks has become even more essential.
Measuring and monitoring changes in environmental temperature, lighting, ventilation, body condition, body-weight and egg-weight profiles compared to standards, housing conditions, and external challenges are necessary to react efficiently and effectively to how the flock performs.
Adjusting feed levels correctly, reacting to incorrect mating ratios, and minimizing challenges within the flock allow post-peak persistency in egg production and fertility to be improved and maintained.















